Официальное опубликование правовых актов
ОФИЦИАЛЬНОЕ ОПУБЛИКОВАНИЕ
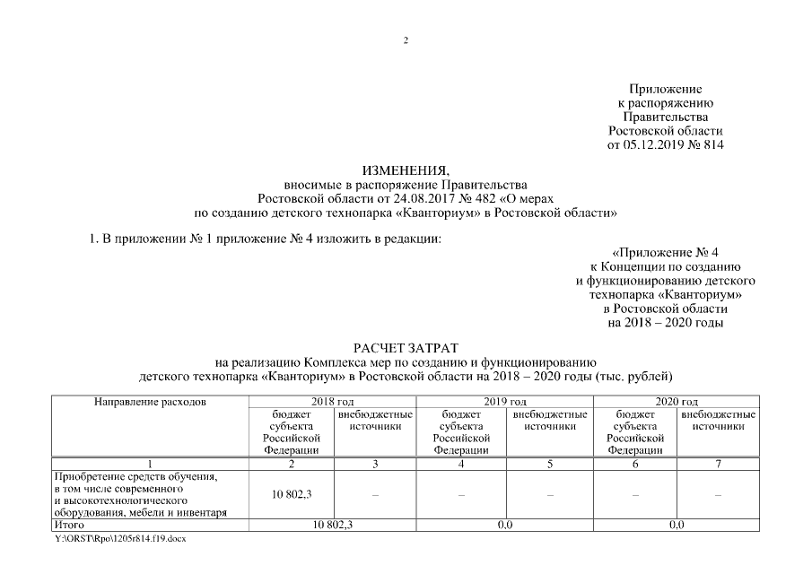
Распоряжение Правительства Ростовской области от 05.12.2019 № 814
"О внесении изменений в распоряжение Правительства Ростовской области от 24.08.2017 № 482"
Номер опубликования: 6100201912060001
Дата опубликования: 06.12.2019
Страница №2 из 3:
Увеличить