Официальное опубликование правовых актов
ОФИЦИАЛЬНОЕ ОПУБЛИКОВАНИЕ
Постановление Правительства Ростовской области от 05.11.2019 № 769
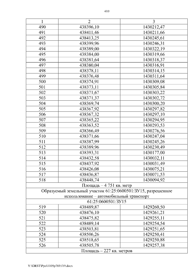
"Об утверждении проекта планировки и проекта межевания территории размещения линейного объекта "Реконструкция автомобильных дорог общего пользования регионального значения "Магистраль "Дон" – пос. Щепкин – г. Ростов-на-Дону на участке км 4 + 700 – км 8 + 700, "Северный обход г. Ростова-на-Дону" на участке х. Щепкин – а/д "г. Ростов-на-Дону – сл. Родионово-Несветайская – г. Новошахтинск" с подъездом к а/д "г. Ростов-на-Дону – ц.у. КСП "Темерницкое" в Аксайском и Мясниковском районах"
Номер опубликования: 6100201911060015
Дата опубликования: 06.11.2019
Страница №410 из 462:
Увеличить