Постановление Правительства Ростовской области от 16.10.2019 № 731
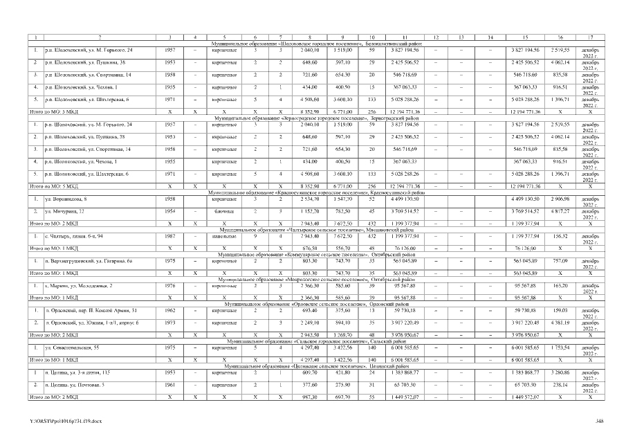
"Об утверждении краткосрочного плана реализации Региональной программы по проведению капитального ремонта общего имущества в многоквартирных домах на территории Ростовской области на 2014 ‒ 2049 годы на 2020 ‒ 2022 годы"
"Об утверждении краткосрочного плана реализации Региональной программы по проведению капитального ремонта общего имущества в многоквартирных домах на территории Ростовской области на 2014 ‒ 2049 годы на 2020 ‒ 2022 годы"
Номер опубликования: 6100201910170005
Дата опубликования:
17.10.2019
