Официальное опубликование правовых актов
ОФИЦИАЛЬНОЕ ОПУБЛИКОВАНИЕ
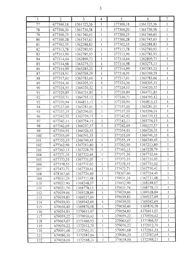
Областной закон Ростовской области от 18.09.2019 № 206-ЗС
"Об утверждении заключения Соглашения об описании местоположения границы между Ростовской областью и Краснодарским краем"
Номер опубликования: 6100201909200013
Дата опубликования: 20.09.2019
Страница №37 из 85:
Увеличить