Официальное опубликование правовых актов
ОФИЦИАЛЬНОЕ ОПУБЛИКОВАНИЕ
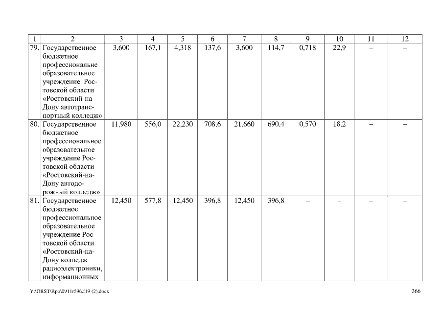
Распоряжение Правительства Ростовской области от 11.09.2019 № 596
"О прогнозных объемах финансирования и лимитах потребления на услуги по водоснабжению, водоотведению и вывозу жидких бытовых отходов на 2020 год и плановый период 2021 и 2022 годов"
Номер опубликования: 6100201909180008
Дата опубликования: 18.09.2019
Страница №374 из 696:
Увеличить