Официальное опубликование правовых актов
ОФИЦИАЛЬНОЕ ОПУБЛИКОВАНИЕ
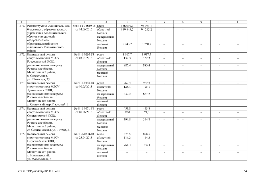
Постановление Правительства Ростовской области от 28.08.2019 № 605
"О внесении изменений в постановление Правительства Ростовской области от 17.10.2018 № 646"
Номер опубликования: 6100201908300017
Дата опубликования: 30.08.2019
Страница №54 из 74:
Увеличить