Официальное опубликование правовых актов
ОФИЦИАЛЬНОЕ ОПУБЛИКОВАНИЕ
Постановление Правительства Ростовской области от 25.07.2019 № 531
"Об утверждении проекта планировки и проекта межевания территории размещения линейного объекта "Реконструкция мостового перехода на км 4 + 630 подъезда общего пользования межмуниципального значения от автомобильной дороги "с. Дубовское – с. Заветное" к х. Гуреев в Дубовском районе"
Номер опубликования: 6100201907260018
Дата опубликования: 26.07.2019
Страница №16 из 18:
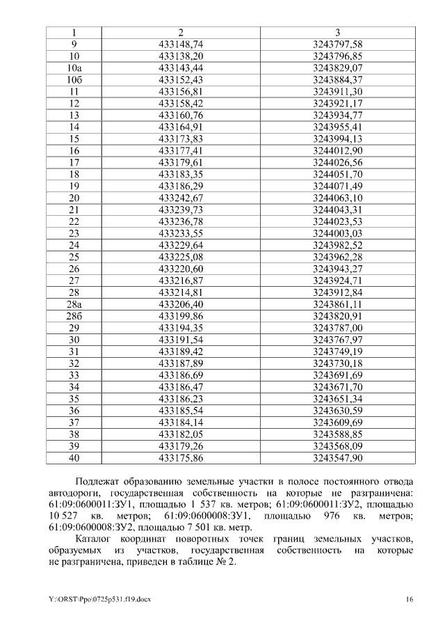
Увеличить