Официальное опубликование правовых актов
ОФИЦИАЛЬНОЕ ОПУБЛИКОВАНИЕ
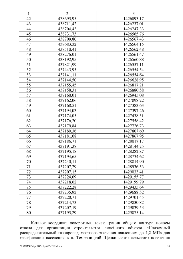
Постановление Правительства Ростовской области от 10.06.2019 № 405
"Об утверждении проекта планировки и проекта межевания территории размещения линейного объекта "Подземный распределительный газопровод местного значения давлением до 1,2 МПа для газификации населения в п. Темерницкий Щепкинского сельского поселения Аксайского района в границах коттеджного поселка (ДНТ) "Ореховая роща"
Номер опубликования: 6100201906130005
Дата опубликования: 13.06.2019
Страница №35 из 43:
Увеличить