Официальное опубликование правовых актов
ОФИЦИАЛЬНОЕ ОПУБЛИКОВАНИЕ
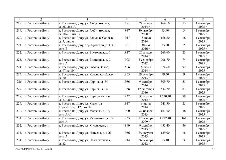
Постановление Правительства Ростовской области от 01.04.2019 № 233
"О внесении изменений в постановление Правительства Ростовской области от 12.08.2016 № 569"
Номер опубликования: 6100201904020003
Дата опубликования: 02.04.2019
Страница №47 из 78:
Увеличить