Официальное опубликование правовых актов
ОФИЦИАЛЬНОЕ ОПУБЛИКОВАНИЕ
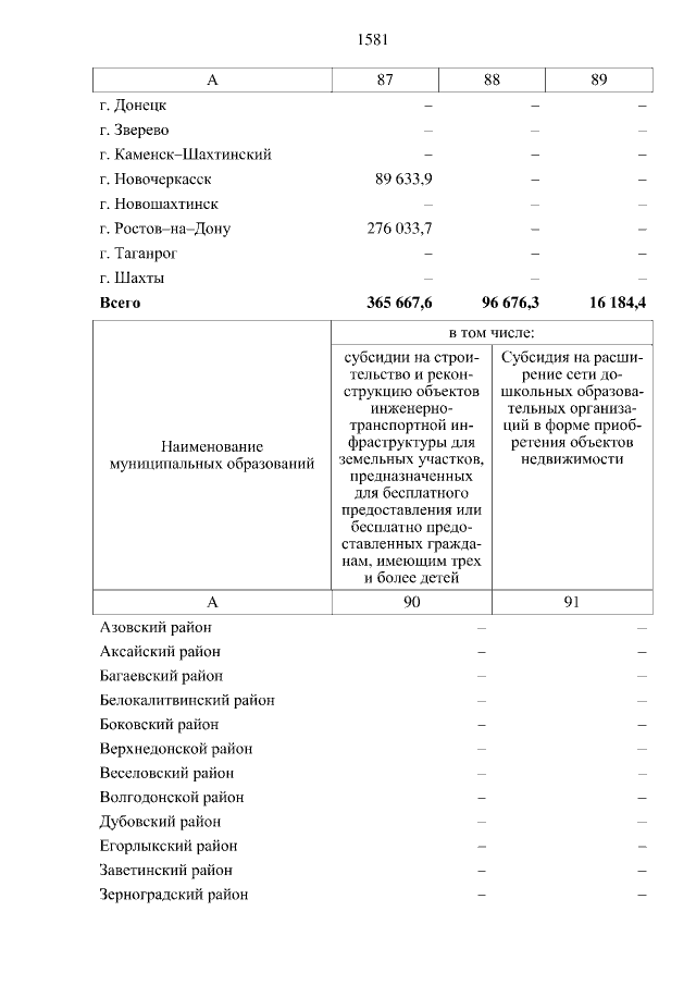
Областной закон Ростовской области от 01.04.2019 № 130-ЗС
"О внесении изменений в Областной закон "Об областном бюджете на 2019 год и на плановый период 2020 и 2021 годов"
Номер опубликования: 6100201904020001
Дата опубликования: 02.04.2019
Страница №1581 из 1653:
Увеличить