Официальное опубликование правовых актов
ОФИЦИАЛЬНОЕ ОПУБЛИКОВАНИЕ
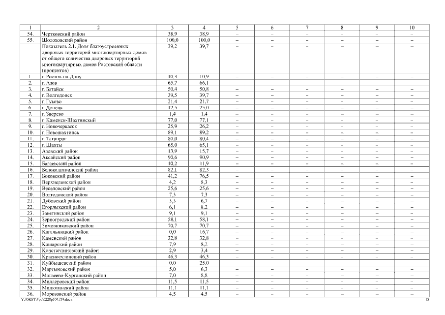
Постановление Правительства Ростовской области от 28.02.2019 № 104
"О внесении изменения в постановление Правительства Ростовской области от 31.08.2017 № 597"
Номер опубликования: 6100201903010002
Дата опубликования: 01.03.2019
Страница №18 из 60:
Увеличить