Официальное опубликование правовых актов
ОФИЦИАЛЬНОЕ ОПУБЛИКОВАНИЕ
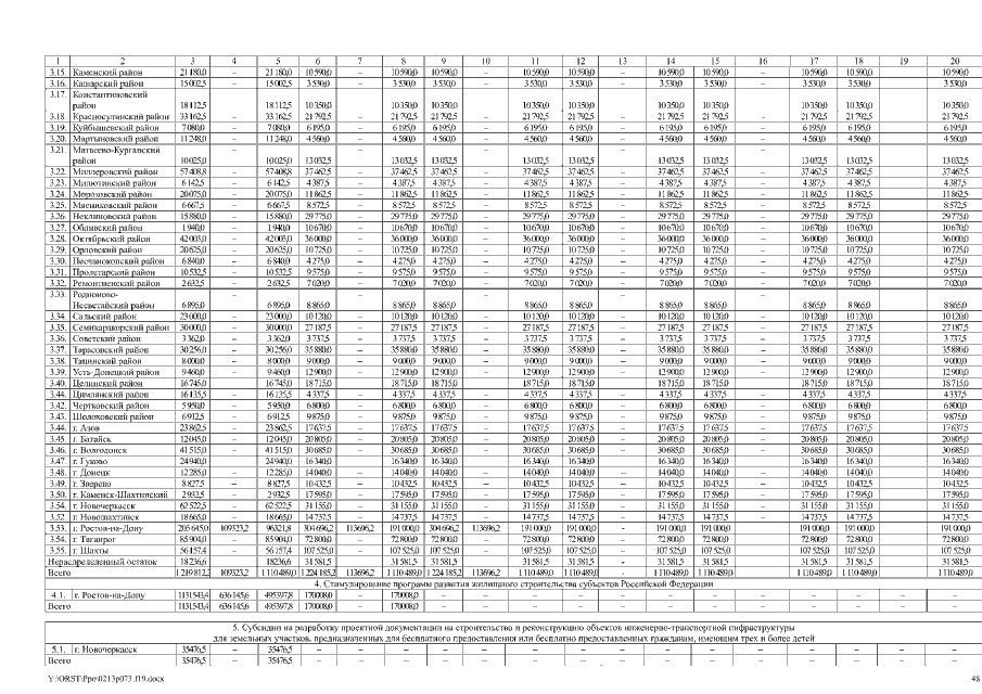
Постановление Правительства Ростовской области от 13.02.2019 № 73
"О внесении изменений в постановление Правительства Ростовской области от 17.10.2018 № 642"
Номер опубликования: 6100201902140005
Дата опубликования: 14.02.2019
Страница №48 из 52:
Увеличить