Официальное опубликование правовых актов
ОФИЦИАЛЬНОЕ ОПУБЛИКОВАНИЕ
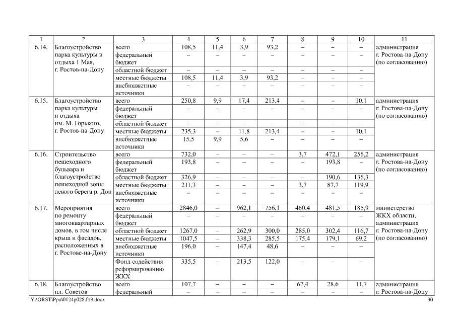
Постановление Правительства Ростовской области от 24.01.2019 № 28
"О внесении изменений в постановление Правительства Ростовской области от 23.12.2013 № 798"
Номер опубликования: 6100201901250010
Дата опубликования: 25.01.2019
Страница №30 из 44:
Увеличить