Официальное опубликование правовых актов
ОФИЦИАЛЬНОЕ ОПУБЛИКОВАНИЕ
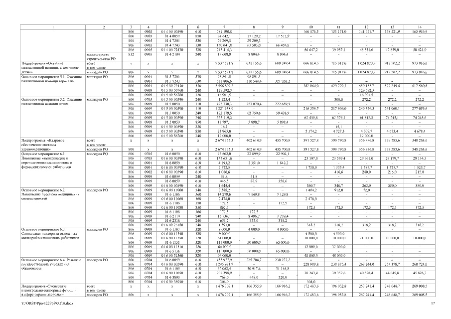
Постановление Правительства Ростовской области от 29.12.2018 № 895
"О внесении изменений в постановление Правительства Ростовской области от 25.09.2013 № 593"
Номер опубликования: 6100201901040013
Дата опубликования: 04.01.2019
Страница №17 из 23:
Увеличить