Официальное опубликование правовых актов
ОФИЦИАЛЬНОЕ ОПУБЛИКОВАНИЕ
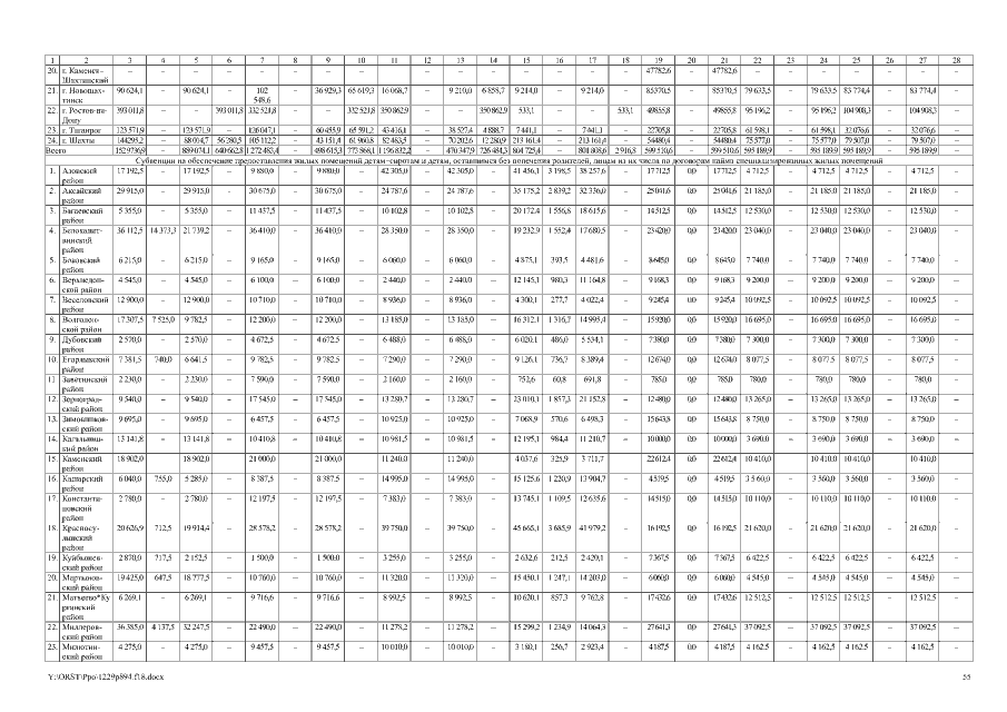
Постановление Правительства Ростовской области от 29.12.2018 № 894
"О внесении изменений в постановление Правительства Ростовской области от 25.09.2013 № 604"
Номер опубликования: 6100201901040008
Дата опубликования: 04.01.2019
Страница №55 из 60:
Увеличить