Официальное опубликование правовых актов
ОФИЦИАЛЬНОЕ ОПУБЛИКОВАНИЕ
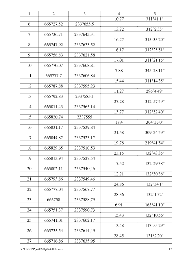
Постановление Правительства Ростовской области от 20.12.2018 № 844 "Об утверждении проекта планировки и проекта межевания территории размещения линейного объекта "Реконструкция автомобильной дороги общего пользования межмуниципального значения "г. Миллерово – ст. Вешенская" – х. Грачев – х. Верхнечирский со строительством автобусной остановки на км 10 + 122 в Боковском районе"
Номер опубликования: 6100201812240025
Дата опубликования: 24.12.2018
Страница №17 из 20:
Увеличить