Официальное опубликование правовых актов
ОФИЦИАЛЬНОЕ ОПУБЛИКОВАНИЕ
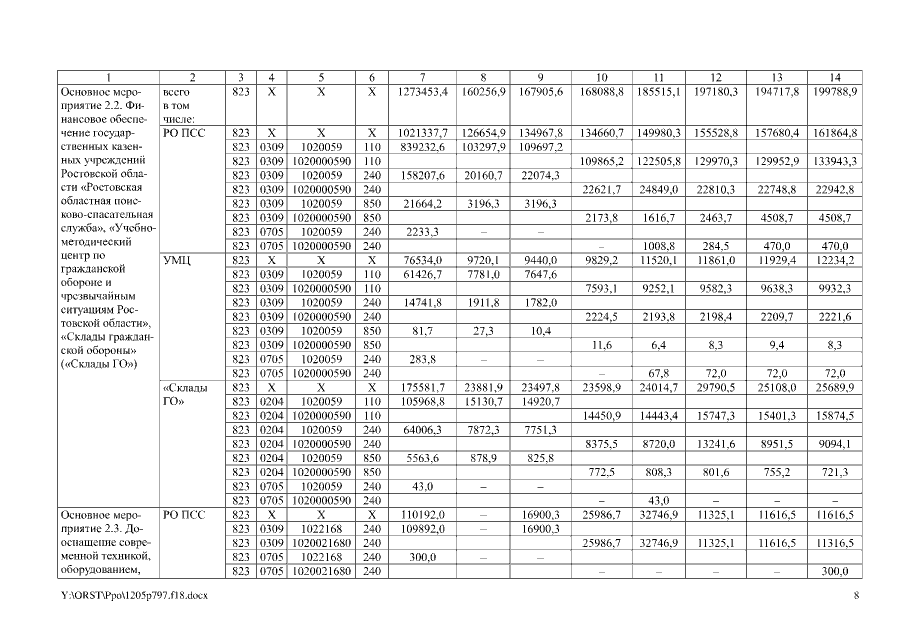
Постановление Правительства Ростовской области от 05.12.2018 № 797
"О внесении изменений в постановление Правительства Ростовской области от 25.09.2013 № 589"
Номер опубликования: 6100201812070010
Дата опубликования: 07.12.2018
Страница №8 из 23:
Увеличить