Официальное опубликование правовых актов
ОФИЦИАЛЬНОЕ ОПУБЛИКОВАНИЕ
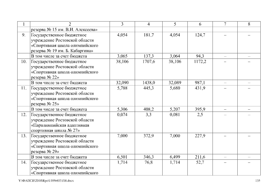
Распоряжение Правительства Ростовской области от 09.11.2018 № 653
"О прогнозных объемах финансирования и лимитах потребления на услуги по водоснабжению, водоотведению и вывозу жидких бытовых отходов на 2019 год и плановый период 2020 и 2021 годов"
Номер опубликования: 6100201811140010
Дата опубликования: 14.11.2018
Страница №135 из 408:
Увеличить