Официальное опубликование правовых актов
ОФИЦИАЛЬНОЕ ОПУБЛИКОВАНИЕ
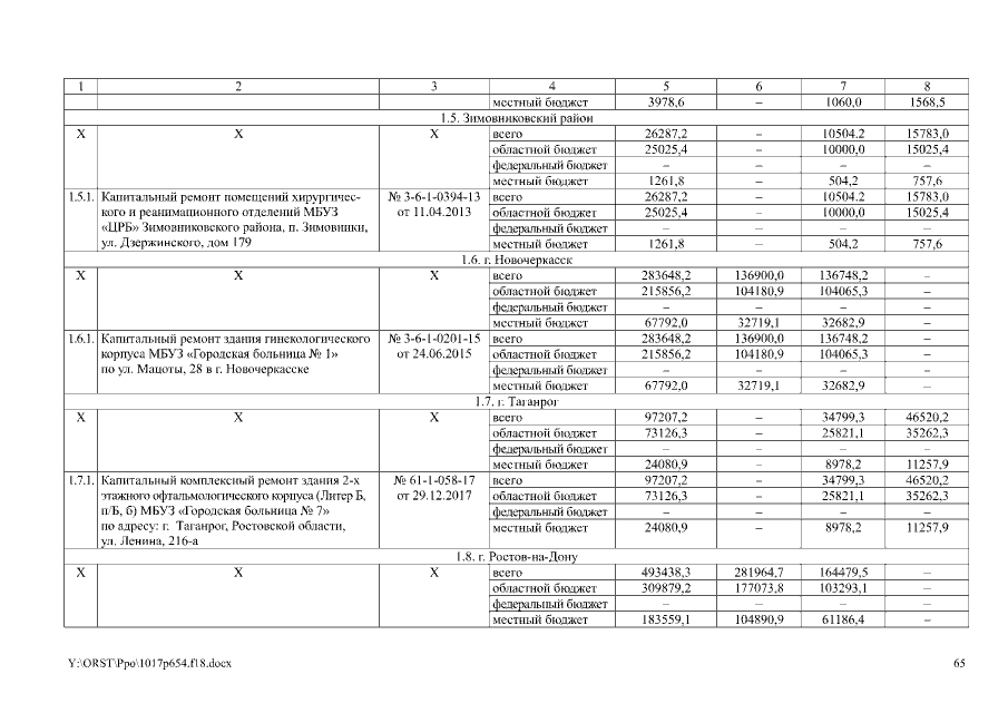
Постановление Правительства Ростовской области от 17.10.2018 № 654
"Об утверждении государственной программы Ростовской области "Развитие здравоохранения"
Номер опубликования: 6100201810190012
Дата опубликования: 19.10.2018
Страница №65 из 94:
Увеличить