Официальное опубликование правовых актов
ОФИЦИАЛЬНОЕ ОПУБЛИКОВАНИЕ
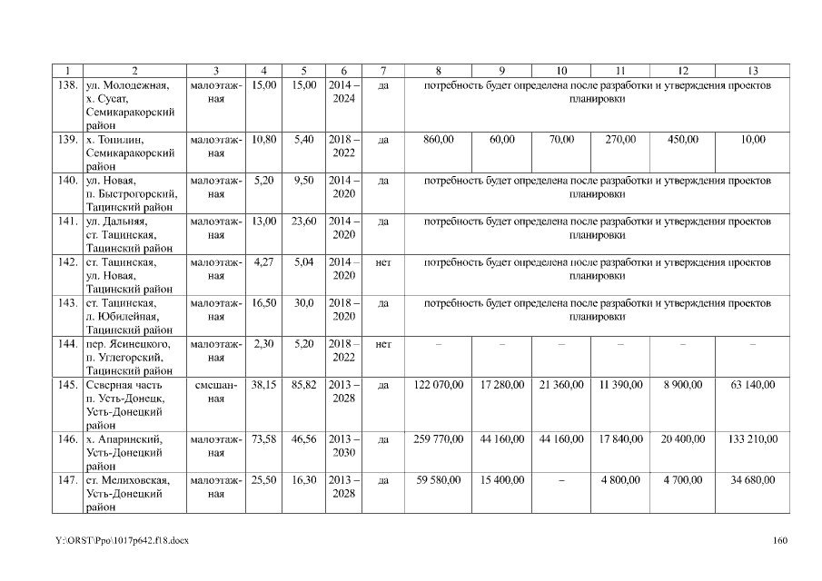
Постановление Правительства Ростовской области от 17.10.2018 № 642
"Об утверждении государственной программы Ростовской области "Территориальное планирование и обеспечение доступным и комфортным жильем населения Ростовской области"
Номер опубликования: 6100201810190009
Дата опубликования: 19.10.2018
Страница №160 из 166:
Увеличить