Официальное опубликование правовых актов
ОФИЦИАЛЬНОЕ ОПУБЛИКОВАНИЕ
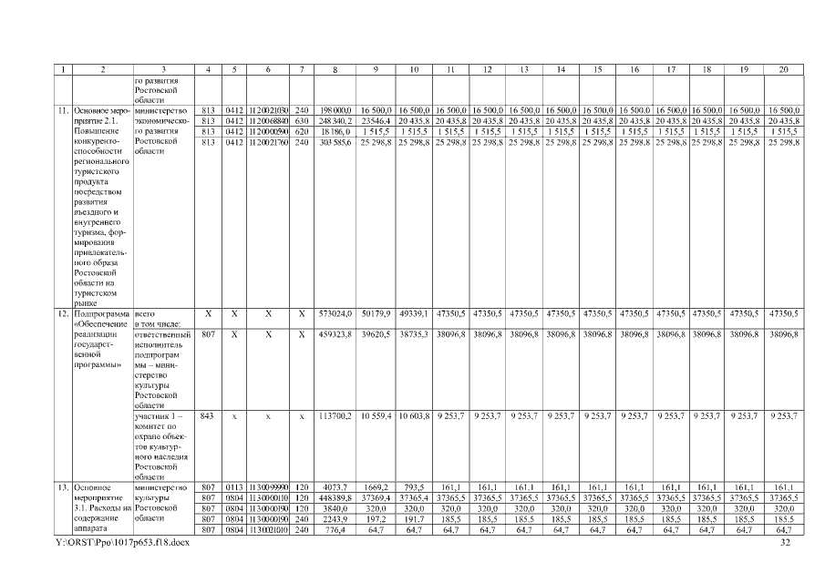
Постановление Правительства Ростовской области от 17.10.2018 № 653
"Об утверждении государственной программы Ростовской области "Развитие культуры и туризма"
Номер опубликования: 6100201810190005
Дата опубликования: 19.10.2018
Страница №32 из 71:
Увеличить