Официальное опубликование правовых актов
ОФИЦИАЛЬНОЕ ОПУБЛИКОВАНИЕ
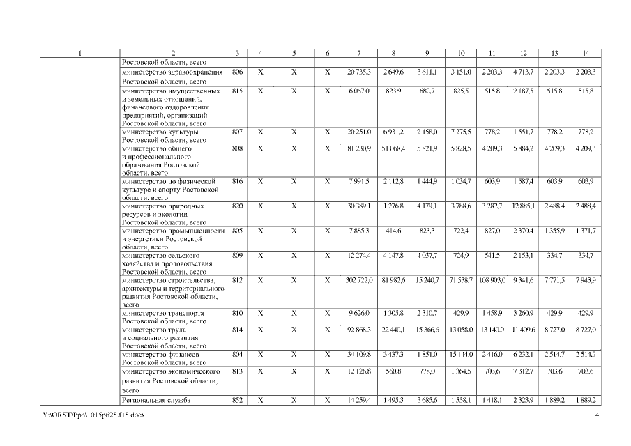
Постановление Правительства Ростовской области от 15.10.2018 № 628
"О внесении изменений в постановление Правительства Ростовской области от 25.09.2013 № 594"
Номер опубликования: 6100201810160003
Дата опубликования: 16.10.2018
Страница №4 из 16:
Увеличить