Официальное опубликование правовых актов
ОФИЦИАЛЬНОЕ ОПУБЛИКОВАНИЕ
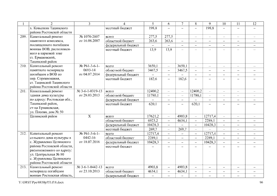
Постановление Правительства Ростовской области от 30.08.2018 № 553
"О внесении изменений в постановление Правительства Ростовской области от 25.09.2013 № 587"
Номер опубликования: 6100201808310017
Дата опубликования: 31.08.2018
Страница №96 из 112:
Увеличить