Официальное опубликование правовых актов
ОФИЦИАЛЬНОЕ ОПУБЛИКОВАНИЕ
Постановление Правительства Ростовской области от 09.08.2018 № 505
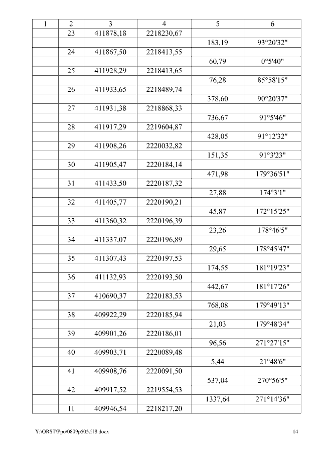
"Об утверждении проекта планировки и проекта межевания территории размещения линейного объекта "Реконструкция участка автомобильной дороги общего пользования регионального значения г. Ростов-на-Дону (от магистрали "Дон") – г. Семикаракорск – г. Волгодонск на км 0 + 000 – км 88 + 500 (км 3 + 000 – км 3 + 300) в Аксайском районе"
Номер опубликования: 6100201808140014
Дата опубликования: 14.08.2018
Страница №14 из 15:
Увеличить