Официальное опубликование правовых актов
ОФИЦИАЛЬНОЕ ОПУБЛИКОВАНИЕ
Постановление Правительства Ростовской области от 30.07.2018 № 480
"Об утверждении проекта планировки и проекта межевания территории размещения линейного объекта "Строительство системы водоснабжения аэропортового комплекса "Южный" и прилегающих населенных пунктов" (3-й этап)"
Номер опубликования: 6100201807310001
Дата опубликования: 31.07.2018
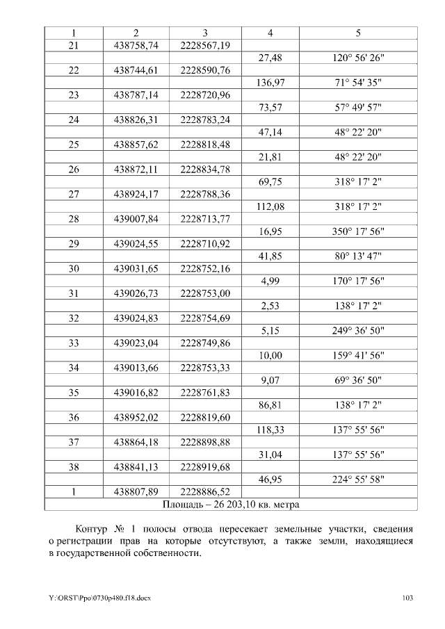
Страница №103 из 171:
Увеличить