Официальное опубликование правовых актов
ОФИЦИАЛЬНОЕ ОПУБЛИКОВАНИЕ
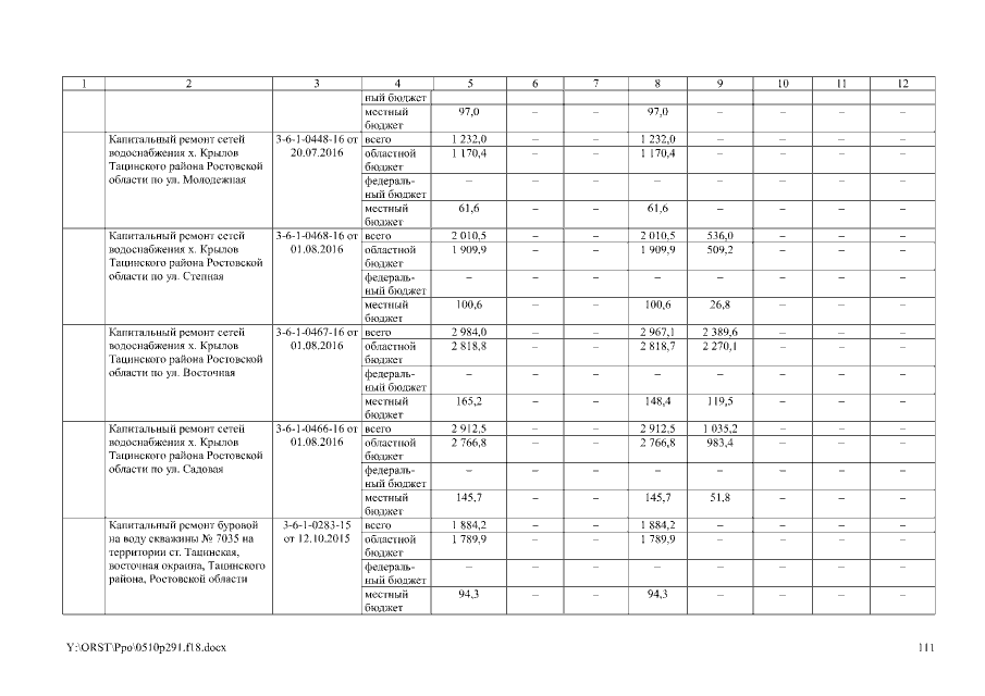
Постановление Правительства Ростовской области от 10.05.2018 № 291
"О внесении изменений в постановление Правительства Ростовской области от 25.09.2013 № 603"
Номер опубликования: 6100201805150015
Дата опубликования: 15.05.2018
Страница №111 из 152:
Увеличить