Официальное опубликование правовых актов
ОФИЦИАЛЬНОЕ ОПУБЛИКОВАНИЕ
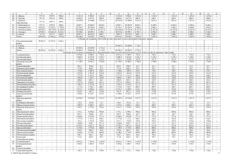
Постановление Правительства Ростовской области от 10.05.2018 № 302
"О внесении изменений в постановление Правительства Ростовской области от 31.08.2017 № 597"
Номер опубликования: 6100201805140001
Дата опубликования: 14.05.2018
Страница №17 из 20:
Увеличить