Официальное опубликование правовых актов
ОФИЦИАЛЬНОЕ ОПУБЛИКОВАНИЕ
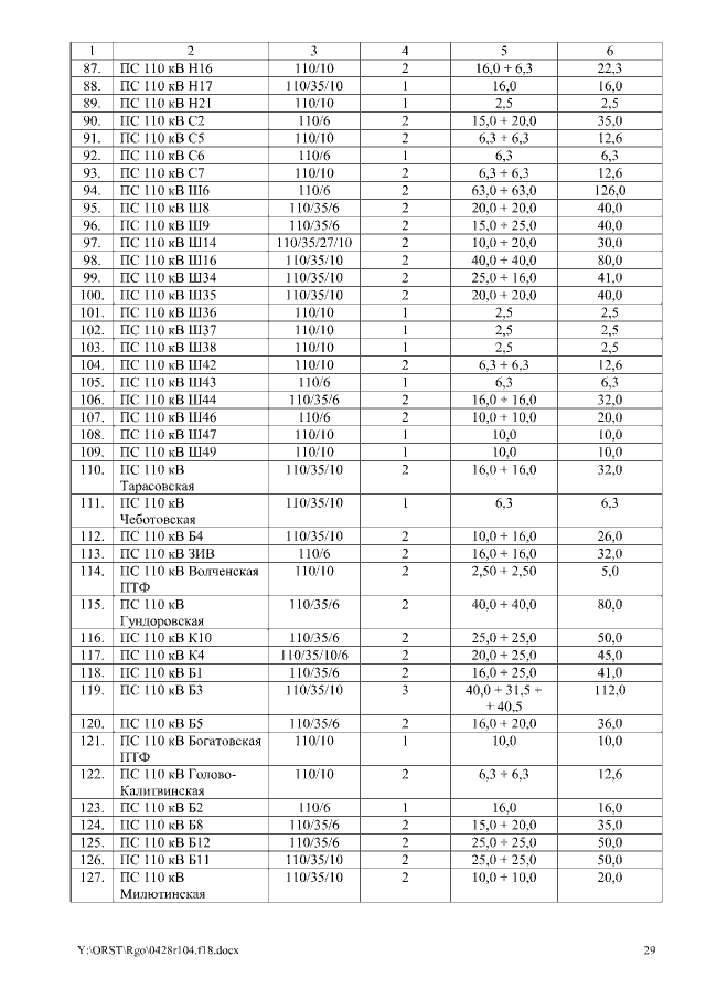
Распоряжение Губернатора Ростовской области от 28.04.2018 № 104
"Об утверждении схемы и программы перспективного развития электроэнергетики Ростовской области на 2018 – 2022 годы"
Номер опубликования: 6100201805030006
Дата опубликования: 03.05.2018
Страница №29 из 147:
Увеличить