Официальное опубликование правовых актов
ОФИЦИАЛЬНОЕ ОПУБЛИКОВАНИЕ
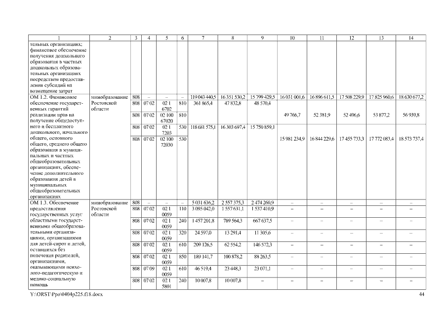
Постановление Правительства Ростовской области от 04.04.2018 № 225
"О внесении изменения в постановление Правительства Ростовской области от 25.09.2013 № 596"
Номер опубликования: 6100201804060003
Дата опубликования: 06.04.2018
Страница №44 из 160:
Увеличить