Официальное опубликование правовых актов
ОФИЦИАЛЬНОЕ ОПУБЛИКОВАНИЕ
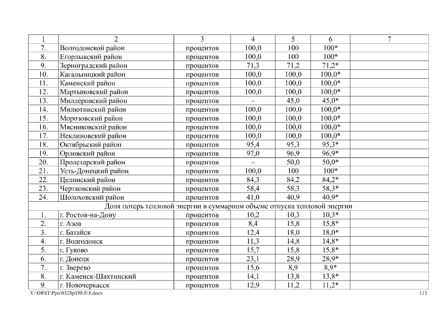
Постановление Правительства Ростовской области от 28.03.2018 № 198
"Об утверждении отчета о реализации государственной программы Ростовской области "Обеспечение качественными жилищно-коммунальными услугами населения Ростовской области" за 2017 год"
Номер опубликования: 6100201803300020
Дата опубликования: 30.03.2018
Страница №113 из 126:
Увеличить