Официальное опубликование правовых актов
ОФИЦИАЛЬНОЕ ОПУБЛИКОВАНИЕ
Постановление Правительства Ростовской области от 28.03.2018 № 192
"О внесении изменения в постановление Правительства Ростовской области от 25.09.2013 № 589"
Номер опубликования: 6100201803300018
Дата опубликования: 30.03.2018
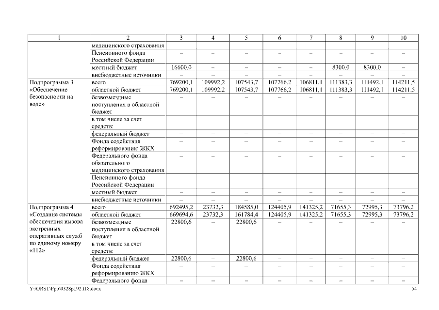
Страница №54 из 64:
Увеличить