Официальное опубликование правовых актов
ОФИЦИАЛЬНОЕ ОПУБЛИКОВАНИЕ
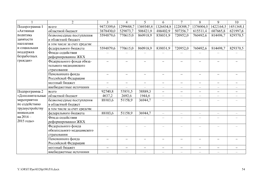
Постановление Правительства Ростовской области от 28.03.2018 № 190
"О внесении изменения в постановление Правительства Ростовской области от 25.09.2013 № 586"
Номер опубликования: 6100201803300004
Дата опубликования: 30.03.2018
Страница №54 из 59:
Увеличить