Официальное опубликование правовых актов
ОФИЦИАЛЬНОЕ ОПУБЛИКОВАНИЕ
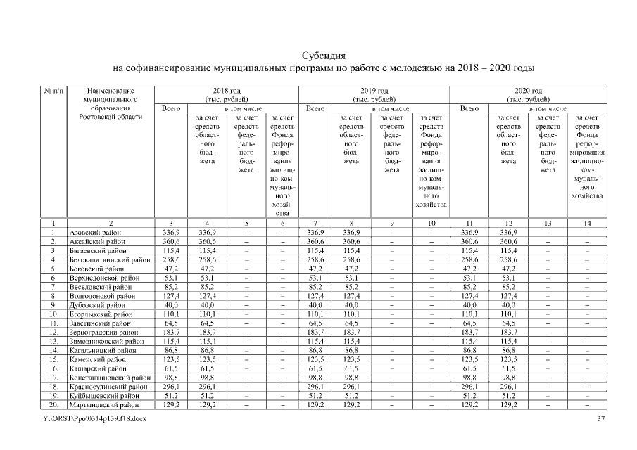
Постановление Правительства Ростовской области от 14.03.2018 № 139
"О внесении изменения в постановление Правительства Ростовской области от 25.09.2013 № 588"
Номер опубликования: 6100201803190009
Дата опубликования: 19.03.2018
Страница №37 из 50:
Увеличить