Официальное опубликование правовых актов
ОФИЦИАЛЬНОЕ ОПУБЛИКОВАНИЕ
Постановление Правительства Ростовской области от 06.03.2018 № 117
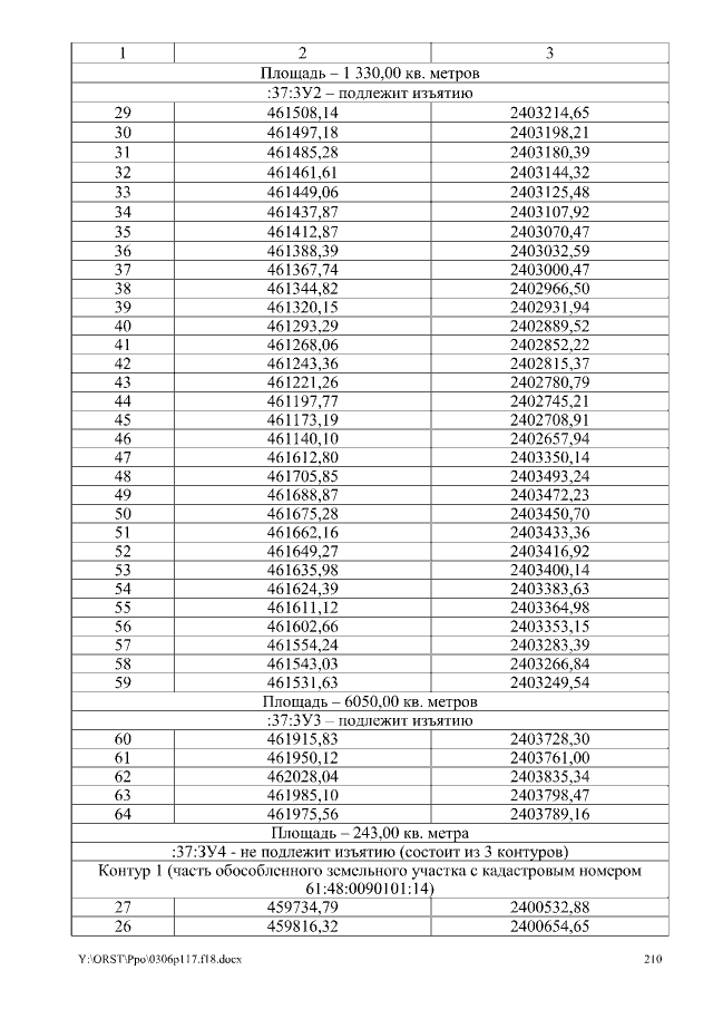
"Об утверждении проекта планировки и проекта межевания территории размещения линейного объекта "Реконструкция участка подъездной дороги от пересечения магистрали № 1 "г. Волгодонск –Атомная" с ул. Мира в г. Волгодонске до въезда на территорию Волгодонской (Ростовской) АЭС""
Номер опубликования: 6100201803130011
Дата опубликования: 13.03.2018
Страница №210 из 242:
Увеличить