Официальное опубликование правовых актов
ОФИЦИАЛЬНОЕ ОПУБЛИКОВАНИЕ
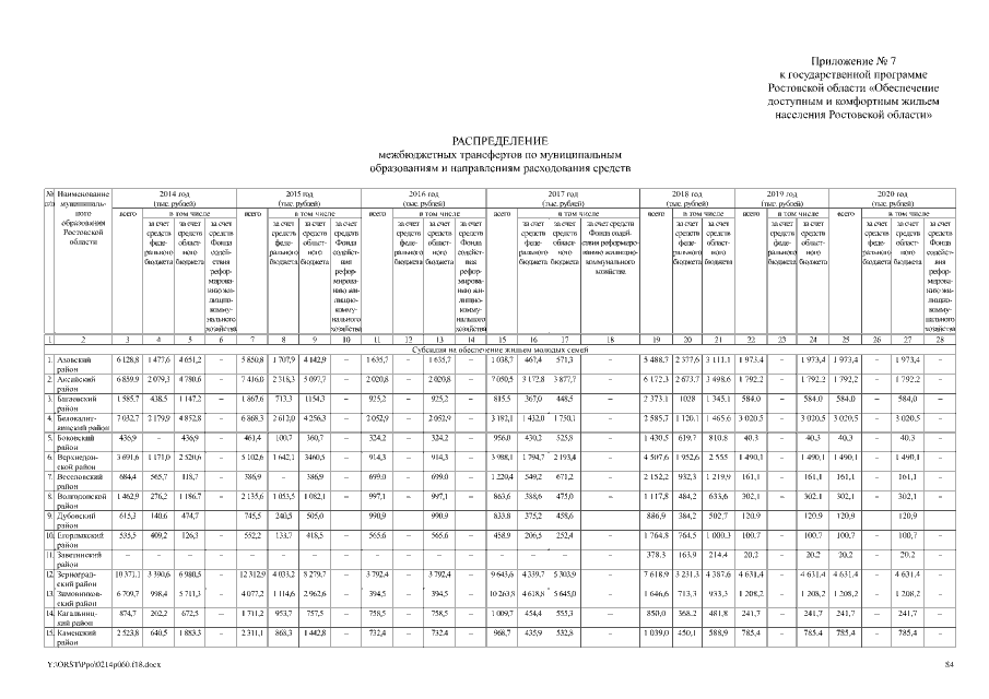
Постановление Правительства Ростовской области от 14.02.2018 № 60
"О внесении изменения в постановление Правительства Ростовской области от 25.09.2013 № 604"
Номер опубликования: 6100201802190017
Дата опубликования: 19.02.2018
Страница №84 из 162:
Увеличить