Официальное опубликование правовых актов
ОФИЦИАЛЬНОЕ ОПУБЛИКОВАНИЕ
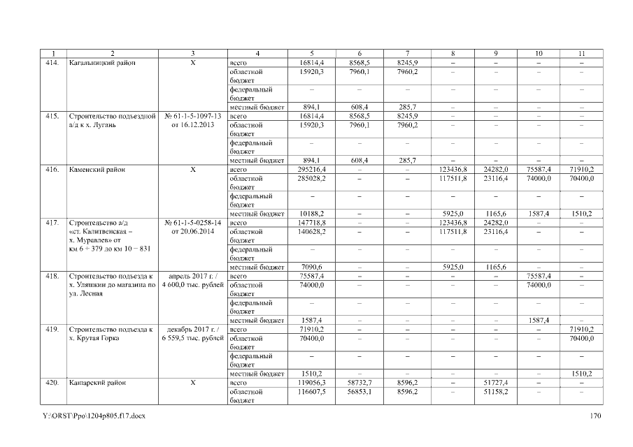
Постановление Правительства Ростовской области от 04.12.2017 № 805
"О внесении изменений в постановление Правительства Ростовской области от 25.09.2013 № 590"
Номер опубликования: 6100201712060026
Дата опубликования: 06.12.2017
Страница №170 из 180:
Увеличить