Официальное опубликование правовых актов
ОФИЦИАЛЬНОЕ ОПУБЛИКОВАНИЕ
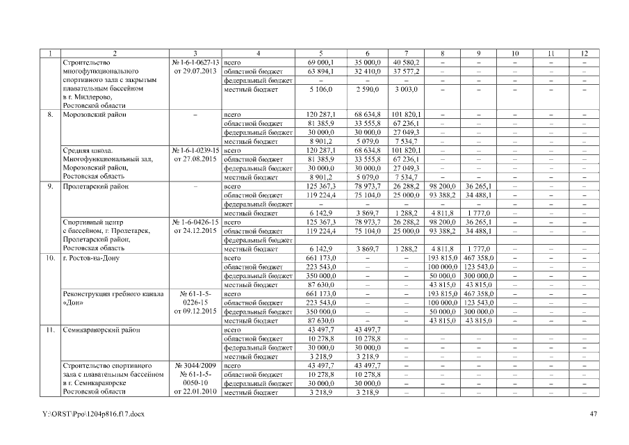
Постановление Правительства Ростовской области от 04.12.2017 № 816
"О внесении изменений в постановление Правительства Ростовской области от 25.09.2013 № 591"
Номер опубликования: 6100201712060009
Дата опубликования: 06.12.2017
Страница №47 из 53:
Увеличить