Официальное опубликование правовых актов
ОФИЦИАЛЬНОЕ ОПУБЛИКОВАНИЕ
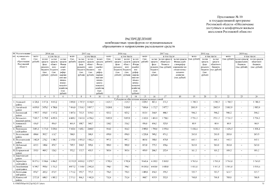
Постановление Правительства Ростовской области от 23.11.2017 № 782
"О внесении изменений в постановление Правительства Ростовской области от 25.09.2013 № 604"
Номер опубликования: 6100201711270010
Дата опубликования: 27.11.2017
Страница №75 из 82:
Увеличить