Официальное опубликование правовых актов
ОФИЦИАЛЬНОЕ ОПУБЛИКОВАНИЕ
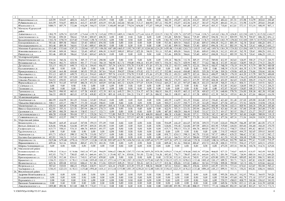
Постановление Правительства Ростовской области от 08.11.2017 № 755
"О внесении изменения в постановление Правительства Ростовской области от 13.11.2014 № 759"
Номер опубликования: 6100201711140001
Дата опубликования: 14.11.2017
Страница №6 из 19:
Увеличить