Официальное опубликование правовых актов
ОФИЦИАЛЬНОЕ ОПУБЛИКОВАНИЕ
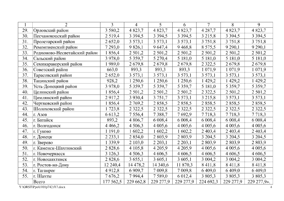
Постановление Правительства Ростовской области от 01.11.2017 № 742
"О внесении изменений в постановление Правительства Ростовской области от 25.09.2013 № 601"
Номер опубликования: 6100201711030016
Дата опубликования: 03.11.2017
Страница №4 из 7:
Увеличить