Официальное опубликование правовых актов
ОФИЦИАЛЬНОЕ ОПУБЛИКОВАНИЕ
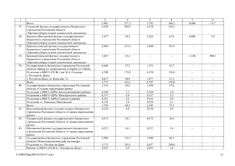
Распоряжение Правительства Ростовской области от 15.09.2017 № 530
"О прогнозных объемах финансирования и лимитах потребления на услуги по водоснабжению, водоотведению и вывозу жидких бытовых отходов на 2018 год и плановый период 2019 и 2020 годов"
Номер опубликования: 6100201709190023
Дата опубликования: 19.09.2017
Страница №12 из 245:
Увеличить