Официальное опубликование правовых актов
ОФИЦИАЛЬНОЕ ОПУБЛИКОВАНИЕ
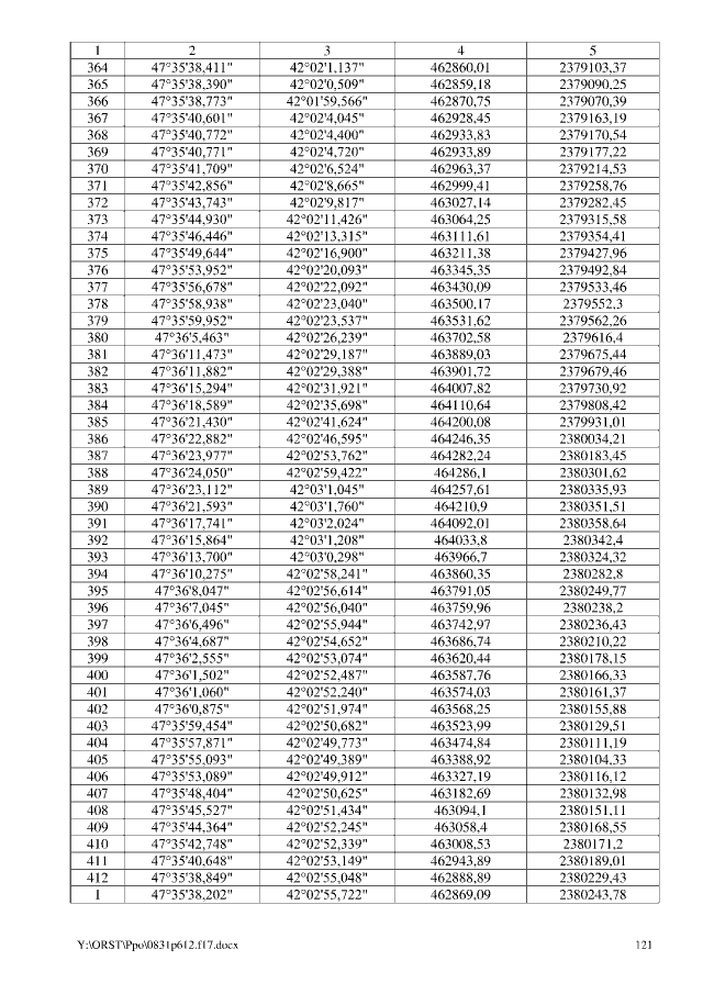
Постановление Правительства Ростовской области от 31.08.2017 № 612
"О природном парке "Донской"
Номер опубликования: 6100201709040011
Дата опубликования: 04.09.2017
Страница №121 из 176:
Увеличить