Официальное опубликование правовых актов
ОФИЦИАЛЬНОЕ ОПУБЛИКОВАНИЕ
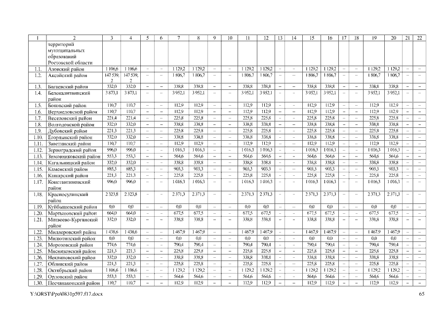
Постановление Правительства Ростовской области от 31.08.2017 № 597
"Об утверждении государственной программы Ростовской области "Формирование современной городской среды на территории Ростовской области"
Номер опубликования: 6100201709010001
Дата опубликования: 01.09.2017
Страница №65 из 110:
Увеличить