Официальное опубликование правовых актов
ОФИЦИАЛЬНОЕ ОПУБЛИКОВАНИЕ
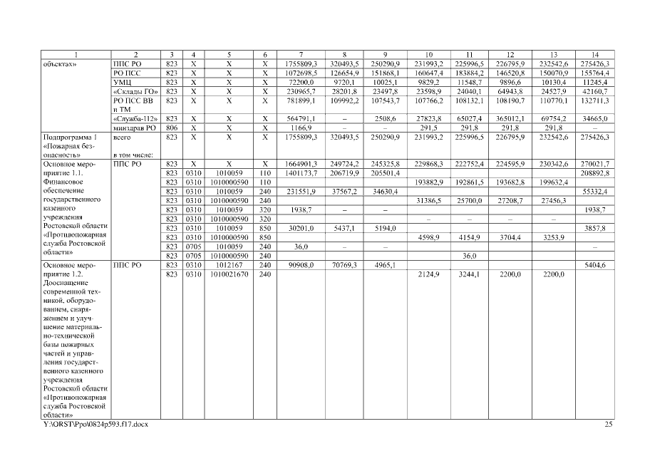
Постановление Правительства Ростовской области от 24.08.2017 № 593
"О внесении изменений в постановление Правительства Ростовской области от 25.09.2013 № 589"
Номер опубликования: 6100201708300009
Дата опубликования: 30.08.2017
Страница №25 из 56:
Увеличить