Официальное опубликование правовых актов
ОФИЦИАЛЬНОЕ ОПУБЛИКОВАНИЕ
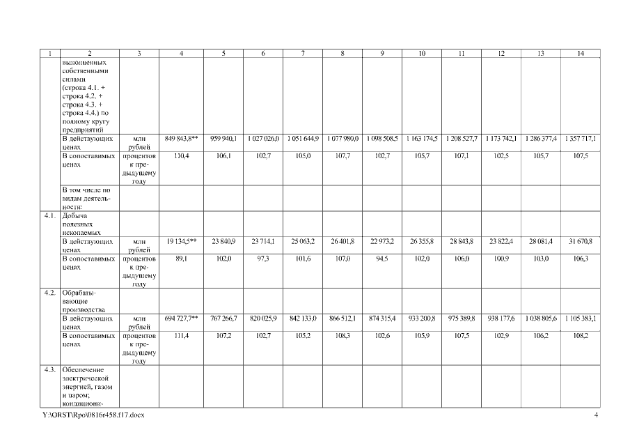
Распоряжение Правительства Ростовской области от 16.08.2017 № 458
"О прогнозе социально-экономического развития Ростовской области на 2018 – 2020 годы"
Номер опубликования: 6100201708210001
Дата опубликования: 21.08.2017
Страница №4 из 10:
Увеличить