Официальное опубликование правовых актов
ОФИЦИАЛЬНОЕ ОПУБЛИКОВАНИЕ
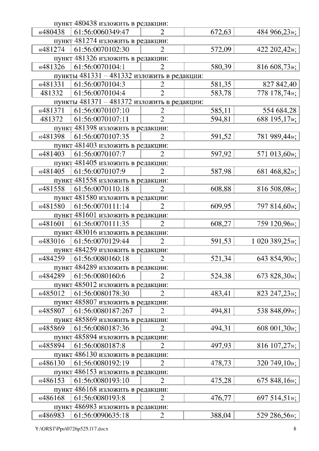
Постановление Правительства Ростовской области от 26.07.2017 № 525
"О внесении изменений в постановление Правительства Ростовской области от 25.11.2014 № 776"
Номер опубликования: 6100201707310015
Дата опубликования: 31.07.2017
Страница №8 из 13:
Увеличить