Официальное опубликование правовых актов
ОФИЦИАЛЬНОЕ ОПУБЛИКОВАНИЕ
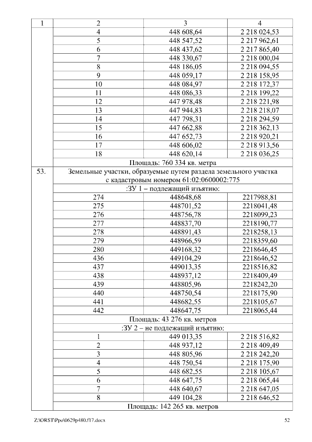
Постановление Правительства Ростовской области от 29.06.2017 № 480
"О внесении изменений в постановление Правительства Ростовской области от 26.07.2016 № 526"
Номер опубликования: 6100201707030013
Дата опубликования: 03.07.2017
Страница №52 из 69:
Увеличить