Официальное опубликование правовых актов
ОФИЦИАЛЬНОЕ ОПУБЛИКОВАНИЕ
Постановление Правительства Ростовской области от 12.05.2017 № 354
"Об охраняемых ландшафтах и охраняемых природных объектах"
Номер опубликования: 6100201705170017
Дата опубликования: 17.05.2017
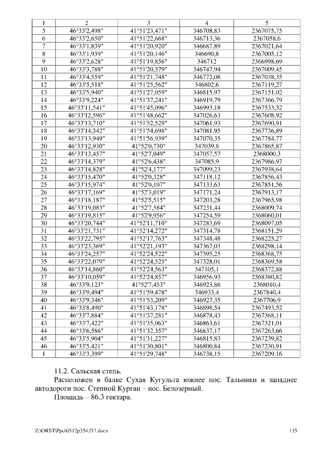
Страница №135 из 147:
Увеличить