Официальное опубликование правовых актов
ОФИЦИАЛЬНОЕ ОПУБЛИКОВАНИЕ
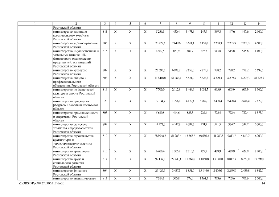
Постановление Правительства Ростовской области от 27.04.2017 № 306
"О внесении изменений в постановление Правительства Ростовской области от 25.09.2013 № 594"
Номер опубликования: 6100201704280003
Дата опубликования: 28.04.2017
Страница №14 из 34:
Увеличить