Официальное опубликование правовых актов
ОФИЦИАЛЬНОЕ ОПУБЛИКОВАНИЕ
Постановление Правительства Ростовской области от 12.04.2017 № 285
"Об утверждении основной части проекта планировки и проекта межевания территории размещения мостового перехода на км 48 + 252 автомобильной дороги общего пользования регионального значения х. Усьман – пос. Веселый – г. Сальск в Веселовском районе"
Номер опубликования: 6100201704170006
Дата опубликования: 17.04.2017
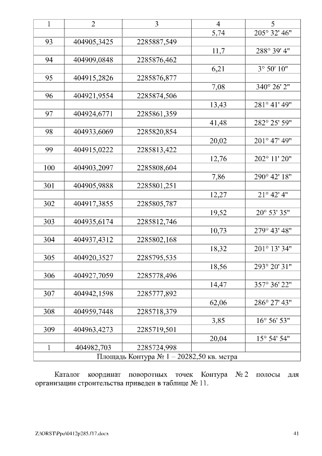
Страница №41 из 53:
Увеличить